Teknik bilgiler
Traktör ve makinelerin tekerlek ve jantlarıyla ilgili teknik sorunlar yaşadığınız her durumda çözümün büyük olasılıkla çok sayıda el kitabından birinde bir yerlerde olduğunu bilirsiniz. Asıl soru: Nerede?
Bunun gibi durumlarda size yardımcı olmak için size sunduğumuz teknik servisi en yararlı çevrimiçi araçlardan oluşan bu bölümle genişlettik. Menüye göz atın ve hepsini denemekten çekinmeyin!
Ürün Broşürleri

Lastiklerimiz ve komple tekerlek çözümlerimiz hakkında daha fazla bilgi için tüm tarım ve ormancılık broşürlerimize göz atıp indirin
Teknik Kılavuz
Trelleborg ürün gamı hakkında tüm teknik bilgilerin yanı sıra lastiklerinizden en iyi şekilde yararlanmanız için yararlı tavsiyeler alın

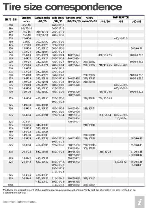
Jantlar
Çift Montaj Sistemi
Pratik Tavsiye
Twin Forestry
Sa lam, kesintisiz performans ve tüm arazilerde çekiş gücü için iyileştirilmiş dayanıklılık özelliklerine sahip yeni nesil Twin Forestry Lastiklerimizi keşfedin

Genel Bilgiler Basınç
Orman lastiklerinin şişirme basıncı, takılması ve kullanılması hakkında genel bilgiler
Twin Forestry Bilgileri Basınç
Twin Forestry Bilgileri Basınç önerisi

Teknik filmler
İletişim kurmak mı istiyorsunuz? Bize yazarsanız en kısa sürede size geri döneceğiz.














